73. The Gradient Method#
In this section we assume that \(A\) is SPD.
We define the function \(f : {\mathbb R}^n \rightarrow {\mathbb R}\) as
The gradient and Hessian matrix of \(f\) are
Since \(A\) is positive definite, \(f\) is convex and there exists a unique minimizer of
characterized by \(\nabla f = 0\), i.e. the solution of the linear system \(A x = b\). Thus, the linear system is equivalent to the minimization problem.
There holds
which is simply verified by calculation:
The error in energy norm is directly related to the distance to the minimum.
We apply the gradient method: The next iterate \(x^{k+1}\) is obtained by moving from \(x^k\) into the direction of the negative gradient:
The optimal parameter \(\alpha\) can be obtained by line-search:
i.e.
what is a minimization problem of a convex, quadratic function
The optimal value \(\alpha_\text{opt}\) is found as
The gradient method looks like:
Given \(x^0\)
for \(k = 0, 1, 2, \ldots\)
\(\qquad r = b - A x^k\)
\(\qquad \alpha = \frac{r^T r}{r^T A r}\)
\(\qquad x^{k+1} = x^k + \alpha r\)
In this version, one needs two matrix-vector products with \(A\). By updating the residual one can avoid the second product:
Given \(x^0\)
\(r^0 = b - A x^0\)
for \(k = 0, 1, 2, \ldots\)
\(\qquad p = A r^k\)
\(\qquad \alpha = \frac{{r^k}^T r^k}{{r^k}^T p}\)
\(\qquad x^{k+1} = x^k + \alpha r^k\)
\(\qquad r^{k+1} = r^k - \alpha p\)
from ngsolve import *
mesh = Mesh(unit_square.GenerateMesh(maxh=0.1))
fes = H1(mesh, order=1)
u,v = fes.TnT()
a = BilinearForm(grad(u)*grad(v)*dx+10*u*v*dx).Assemble()
f = LinearForm(x*y*v*dx).Assemble()
gfu = GridFunction(fes)
The code in NGSolve:
r = f.vec.CreateVector()
p = f.vec.CreateVector()
gfu.vec[:] = 0
r.data = f.vec
err0 = Norm(r)
its = 0
errhist = []
while True:
p.data = a.mat * r
err2 = InnerProduct(r,r)
alpha = err2 / InnerProduct(r,p)
# print ("iteration", its, "res=", sqrt(err2))
errhist.append (sqrt(err2))
gfu.vec.data += alpha * r
r.data -= alpha * p
if sqrt(err2) < 1e-8 * err0 or its > 10000: break
its = its+1
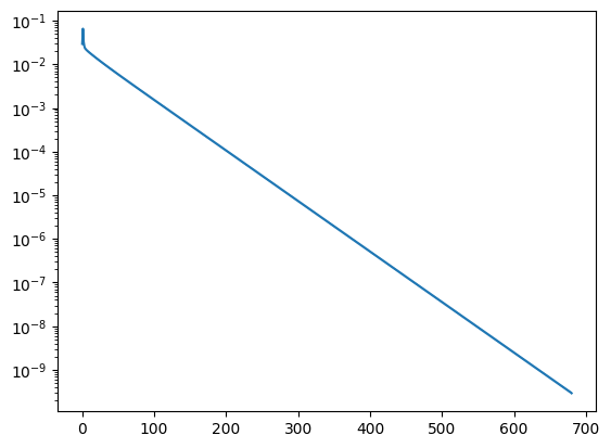
print ("needed", len(errhist), "iterations")
needed 677 iterations
import matplotlib.pyplot as plt
plt.yscale('log')
plt.plot(errhist);

We observe that the gradient method converges similar fast as the Richardson iteration, but without the need of a good chosen relaxation parameter \(\alpha\).
The comparison to Richardson iteration allows also to estimate the error reduction of the gradient method. Let $\( \tilde x^{k+1} = x^k - \alpha_\text{Rich} (b - A x^k) \)$ be one step of Richardson. Then, using the optimality property along the search direction of the gradient method, we observe
One step of the gradient method reduces the error (measured in energy norm) at least as much as one step of the Richardson method.