72. The Richardson Iteration#
also called simple iteration is the fixed point iteration
with an arbitrary starting value \(x^0 \in {\mathbb R}^n\), and a properly cosen damping parameter \(\alpha\). The misfit of the equation, \(r = b - A x^k\) is called residual.
The solution \(x^\ast\) is a fixed point of the iteration (since \(b - A x^\ast = 0\)).
If we define the error as
the error propagation from one step to the next is
This means the new error is obtained from the old error by the error propagation matrix
Two strategies to verify convergence are:
prove that the spectral radius
find some norm \(\| \cdot \|\) such that the matrix norm (=operator norm)
The first one, \(\rho < 1\), only provides asymptotic convergence. This is easily proven if A is diagonizable, i.e. it features a full set of eigenvectors \(z^j\) and eigenvalues \(\lambda_j\). Expand the initial error as
then
and
This means \(\| e^k \| \leq C \rho^k\), but the error does not have to decrease monotonically.
However, if \(\| I - \alpha A \| < 1\), then
proves that the error decreases in every iteration step. Note that the matrix norm is the operator norm generated by the vector norm.
Some facts:
If the norm \(\| \cdot \|\) is generated by an inner product \(\left< \cdot, \cdot \right>\) (parallelogram identity), and \(M\) is some self adjoint matrix with respect to this inner product, i.e.
\[ \left< M x, y \right> = \left< x, M y \right>, \]then \(\rho(M) = \| M \|\)
If \(\left< \cdot , \cdot \right>\) is the Euklidean inner product, then \(M\) is self-adjoint exactly when \(M\) is symmetric.
The spectral radius is bounded by every operator norm. There exists some norm such that the operator norm is arbitrary close to the spectral radius, i.e.
\[ \rho(M) = \inf_{ \text{norms} \| \cdot \| } \| M \| \]
72.1. Optimizing the relaxation parameter \(\alpha\)#
Let \(A\) be SPD, and let \(\sigma(A) = \{ \lambda_i \in {\mathbb R} \}\) with \(0 < \lambda_1 \leq \lambda_2 \ldots \leq \lambda_n\).
Then the eigenvalues of the error propagation matrix \(M = I - \alpha A\) are \(\{ 1 - \alpha \lambda_i \}\).
Whenever we choose
we obtain \(\rho(M) < 1\), and a convergent iteration.
The spectral radius of \(M\) is
The maximum is minimized if we choose \(\alpha\) optimally such that
i.e.
leading to the optimal rate of convergence
with the condition number \(\kappa(A) = \lambda_n(A) / \lambda_1(A)\).
After \(N\) iterations, the error is reduced by
To obtain an error reduction by by a factor of \(\varepsilon\) one needs
72.2. Experiments with the Richardson iteration#
from ngsolve import *
mesh = Mesh(unit_square.GenerateMesh(maxh=0.1))
fes = H1(mesh, order=1)
u,v = fes.TnT()
a = BilinearForm(grad(u)*grad(v)*dx+10*u*v*dx).Assemble()
f = LinearForm(x*y*v*dx).Assemble()
gfu = GridFunction(fes)
we determine (an approximation to) the largest eigenvalue by a few steps of the power iteration:
hv = gfu.vec.CreateVector()
hv2 = gfu.vec.CreateVector()
hv.SetRandom()
hv.data /= Norm(hv)
for k in range(20):
hv2.data = a.mat * hv
rho = Norm(hv2)
print (rho)
hv.data = 1/rho * hv2
1.7956752990680338
4.448900761214395
4.691753672693137
4.814352226978437
4.898245924316241
4.961884348845643
5.011768153572898
5.051348606027109
5.082967519865576
5.1083784321502765
5.128937157167869
5.145700503692558
5.159492305023506
5.170953469301783
5.180581597168563
5.188762568457179
5.195795581626075
5.201912825655762
5.20729480460904
5.212082195607958
Run the Richardson iteration:
alpha = 1 / rho
r = f.vec.CreateVector()
gfu.vec[:] = 0
err0 = Norm(f.vec)
its = 0
errhist = []
while True:
r.data = f.vec - a.mat * gfu.vec
err = Norm(r)
print ("iteration", its, "res=", err)
errhist.append (err)
gfu.vec.data += alpha * r
if err < 1e-8 * err0 or its > 10000: break
its = its+1
print ("needed", its, "iterations")
iteration 0 res= 0.02974211765794692
iteration 1 res= 0.028315523074329833
iteration 2 res= 0.027410842175647522
iteration 3 res= 0.026686352908694286
iteration 4 res= 0.02605354778036957
iteration 5 res= 0.025474574374679673
iteration 6 res= 0.024931283632543395
iteration 7 res= 0.024414250705698613
iteration 8 res= 0.023918188335835474
iteration 9 res= 0.023439891145440477
iteration 10 res= 0.022977263391911276
iteration 11 res= 0.02252883553082078
iteration 12 res= 0.02209351174170106
iteration 13 res= 0.02167043155414069
iteration 14 res= 0.021258890368765174
iteration 15 res= 0.020858291715411852
iteration 16 res= 0.02046811734348254
iteration 17 res= 0.020087907739980797
iteration 18 res= 0.01971724897913322
iteration 19 res= 0.019355763553309795
iteration 20 res= 0.019003103789169966
iteration 21 res= 0.01865894699243924
iteration 22 res= 0.018322991779705176
iteration 23 res= 0.017994955245204867
iteration 24 res= 0.01767457072797152
iteration 25 res= 0.01736158601934315
iteration 26 res= 0.017055761899451082
iteration 27 res= 0.016756870923679827
iteration 28 res= 0.016464696402088225
iteration 29 res= 0.01617903153000453
iteration 30 res= 0.015899678638718388
iteration 31 res= 0.015626448542843247
iteration 32 res= 0.015359159966462567
iteration 33 res= 0.015097639034237173
iteration 34 res= 0.014841718816667147
iteration 35 res= 0.014591238920965869
iteration 36 res= 0.01434604512072099
iteration 37 res= 0.014105989018833337
iteration 38 res= 0.013870927739243541
iteration 39 res= 0.013640723643751601
iteration 40 res= 0.013415244070862429
iteration 41 res= 0.013194361094089788
iteration 42 res= 0.012977951297551641
iteration 43 res= 0.012765895567014494
iteration 44 res= 0.012558078894809354
iteration 45 res= 0.012354390197259415
iteration 46 res= 0.0121547221434405
iteration 47 res= 0.011958970994245996
iteration 48 res= 0.011767036450854718
iteration 49 res= 0.01157882151180759
iteration 50 res= 0.011394232337990156
iteration 51 res= 0.011213178124896332
iteration 52 res= 0.01103557098161611
iteration 53 res= 0.01086132581604804
iteration 54 res= 0.010690360225888162
iteration 55 res= 0.0105225943949912
iteration 56 res= 0.010357950994738508
iteration 57 res= 0.010196355090081538
iteration 58 res= 0.010037734049959545
iteration 59 res= 0.009882017461817013
iteration 60 res= 0.009729137049970023
iteration 61 res= 0.00957902659759177
iteration 62 res= 0.00943162187210645
iteration 63 res= 0.009286860553797623
iteration 64 res= 0.00914468216745215
iteration 65 res= 0.009005028016874708
iteration 66 res= 0.008867841122120142
iteration 67 res= 0.008733066159301757
iteration 68 res= 0.008600649402844286
iteration 69 res= 0.008470538670058644
iteration 70 res= 0.008342683267924778
iteration 71 res= 0.008217033941975723
iteration 72 res= 0.008093542827183131
iteration 73 res= 0.007972163400751166
iteration 74 res= 0.00785285043673079
iteration 75 res= 0.007735559962372405
iteration 76 res= 0.007620249216139159
iteration 77 res= 0.007506876607308029
iteration 78 res= 0.007395401677089779
iteration 79 res= 0.007285785061202624
iteration 80 res= 0.007177988453838204
iteration 81 res= 0.007071974572961421
iteration 82 res= 0.006967707126888932
iteration 83 res= 0.0068651507820937825
iteration 84 res= 0.0067642711321864776
iteration 85 res= 0.006665034668024815
iteration 86 res= 0.006567408748907632
iteration 87 res= 0.006471361574809355
iteration 88 res= 0.0063768621596142555
iteration 89 res= 0.0062838803053114995
iteration 90 res= 0.006192386577113453
iteration 91 res= 0.006102352279461678
iteration 92 res= 0.006013749432886288
iteration 93 res= 0.005926550751686317
iteration 94 res= 0.005840729622399467
iteration 95 res= 0.005756260083031563
iteration 96 res= 0.005673116803016881
iteration 97 res= 0.005591275063881841
iteration 98 res= 0.005510710740585726
iteration 99 res= 0.0054314002835130675
iteration 100 res= 0.0053533207010933665
iteration 101 res= 0.0052764495430249175
iteration 102 res= 0.005200764884080136
iteration 103 res= 0.005126245308471082
iteration 104 res= 0.00505286989475429
iteration 105 res= 0.004980618201255226
iteration 106 res= 0.0049094702519929204
iteration 107 res= 0.004839406523086855
iteration 108 res= 0.0047704079296280195
iteration 109 res= 0.004702455812997286
iteration 110 res= 0.004635531928614874
iteration 111 res= 0.004569618434104862
iteration 112 res= 0.004504697877859927
iteration 113 res= 0.004440753187991515
iteration 114 res= 0.004377767661651467
iteration 115 res= 0.0043157249547117315
iteration 116 res= 0.004254609071788941
iteration 117 res= 0.004194404356601538
iteration 118 res= 0.004135095482647261
iteration 119 res= 0.004076667444189602
iteration 120 res= 0.004019105547541827
iteration 121 res= 0.003962395402637919
iteration 122 res= 0.003906522914880215
iteration 123 res= 0.0038514742772535683
iteration 124 res= 0.003797235962696573
iteration 125 res= 0.0037437947167205878
iteration 126 res= 0.003691137550267643
iteration 127 res= 0.0036392517327986876
iteration 128 res= 0.003588124785603924
iteration 129 res= 0.0035377444753272353
iteration 130 res= 0.003488098807697223
iteration 131 res= 0.0034391760214572452
iteration 132 res= 0.003390964582487553
iteration 133 res= 0.003343453178112618
iteration 134 res= 0.0032966307115871057
iteration 135 res= 0.0032504862967541446
iteration 136 res= 0.0032050092528697147
iteration 137 res= 0.003160189099587527
iteration 138 res= 0.003116015552098299
iteration 139 res= 0.003072478516418594
iteration 140 res= 0.003029568084823295
iteration 141 res= 0.002987274531417232
iteration 142 res= 0.002945588307840723
iteration 143 res= 0.002904500039104571
iteration 144 res= 0.002864000519549906
iteration 145 res= 0.0028240807089284594
iteration 146 res= 0.0027847317285992117
iteration 147 res= 0.0027459448578374505
iteration 148 res= 0.002707711530251991
iteration 149 res= 0.0026700233303073207
iteration 150 res= 0.002632871989946613
iteration 151 res= 0.0025962493853125836
iteration 152 res= 0.002560147533562283
iteration 153 res= 0.002524558589773273
iteration 154 res= 0.0024894748439375424
iteration 155 res= 0.0024548887180404605
iteration 156 res= 0.0024207927632217833
iteration 157 res= 0.0023871796570160172
iteration 158 res= 0.002354042200669435
iteration 159 res= 0.0023213733165311098
iteration 160 res= 0.002289166045515667
iteration 161 res= 0.0022574135446350964
iteration 162 res= 0.002226109084597644
iteration 163 res= 0.0021952460474713676
iteration 164 res= 0.0021648179244101325
iteration 165 res= 0.002134818313440375
iteration 166 res= 0.0021052409173061668
iteration 167 res= 0.0020760795413710255
iteration 168 res= 0.0020473280915745116
iteration 169 res= 0.002018980572441813
iteration 170 res= 0.0019910310851446664
iteration 171 res= 0.0019634738256118496
iteration 172 res= 0.0019363030826879543
iteration 173 res= 0.001909513236338424
iteration 174 res= 0.0018830987558998633
iteration 175 res= 0.0018570541983739639
iteration 176 res= 0.0018313742067635904
iteration 177 res= 0.0018060535084499963
iteration 178 res= 0.001781086913609521
iteration 179 res= 0.0017564693136689225
iteration 180 res= 0.0017321956797978454
iteration 181 res= 0.0017082610614374385
iteration 182 res= 0.0016846605848640193
iteration 183 res= 0.0016613894517866516
iteration 184 res= 0.0016384429379776749
iteration 185 res= 0.0016158163919351772
iteration 186 res= 0.001593505233576355
iteration 187 res= 0.0015715049529611042
iteration 188 res= 0.0015498111090446118
iteration 189 res= 0.0015284193284582851
iteration 190 res= 0.0015073253043182886
iteration 191 res= 0.0014865247950606303
iteration 192 res= 0.0014660136233021089
iteration 193 res= 0.0014457876747266
iteration 194 res= 0.0014258428969956122
iteration 195 res= 0.001406175298682715
iteration 196 res= 0.0013867809482308554
iteration 197 res= 0.0013676559729323798
iteration 198 res= 0.0013487965579305366
iteration 199 res= 0.0013301989452423582
iteration 200 res= 0.0013118594328021408
iteration 201 res= 0.0012937743735248989
iteration 202 res= 0.0012759401743892452
iteration 203 res= 0.0012583532955394456
iteration 204 res= 0.0012410102494057379
iteration 205 res= 0.0012239075998425912
iteration 206 res= 0.0012070419612846086
iteration 207 res= 0.001190409997919305
iteration 208 res= 0.0011740084228764713
iteration 209 res= 0.0011578339974337177
iteration 210 res= 0.00114188353023771
iteration 211 res= 0.0011261538765406645
iteration 212 res= 0.0011106419374519126
iteration 213 res= 0.0010953446592037578
iteration 214 res= 0.0010802590324318184
iteration 215 res= 0.001065382091468879
iteration 216 res= 0.0010507109136523886
iteration 217 res= 0.0010362426186451216
iteration 218 res= 0.0010219743677684654
iteration 219 res= 0.0010079033633484853
iteration 220 res= 0.000994026848073895
iteration 221 res= 0.0009803421043661597
iteration 222 res= 0.0009668464537611202
iteration 223 res= 0.000953537256301915
iteration 224 res= 0.0009404119099430902
iteration 225 res= 0.000927467849965456
iteration 226 res= 0.0009147025484014691
iteration 227 res= 0.0009021135134710553
iteration 228 res= 0.0008896982890273583
iteration 229 res= 0.0008774544540124627
iteration 230 res= 0.0008653796219227064
iteration 231 res= 0.0008534714402833544
iteration 232 res= 0.0008417275901325724
iteration 233 res= 0.0008301457855142871
iteration 234 res= 0.0008187237729799078
iteration 235 res= 0.0008074593310986968
iteration 236 res= 0.0007963502699764032
iteration 237 res= 0.000785394430782293
iteration 238 res= 0.0007745896852841808
iteration 239 res= 0.0007639339353912823
iteration 240 res= 0.0007534251127049187
iteration 241 res= 0.0007430611780766196
iteration 242 res= 0.0007328401211737334
iteration 243 res= 0.0007227599600523393
iteration 244 res= 0.0007128187407370412
iteration 245 res= 0.000703014536807873
iteration 246 res= 0.0006933454489940485
iteration 247 res= 0.0006838096047742041
iteration 248 res= 0.0006744051579833437
iteration 249 res= 0.0006651302884261447
iteration 250 res= 0.0006559832014964314
iteration 251 res= 0.0006469621278029652
iteration 252 res= 0.0006380653228011725
iteration 253 res= 0.0006292910664307944
iteration 254 res= 0.000620637662759349
iteration 255 res= 0.00061210343963129
iteration 256 res= 0.000603686748322705
iteration 257 res= 0.0005953859632015506
iteration 258 res= 0.0005871994813932063
iteration 259 res= 0.0005791257224512458
iteration 260 res= 0.0005711631280335377
iteration 261 res= 0.000563310161583251
iteration 262 res= 0.0005555653080149196
iteration 263 res= 0.0005479270734053628
iteration 264 res= 0.0005403939846894724
iteration 265 res= 0.0005329645893605536
iteration 266 res= 0.0005256374551755312
iteration 267 res= 0.0005184111698643815
iteration 268 res= 0.0005112843408443743
iteration 269 res= 0.0005042555949383612
iteration 270 res= 0.0004973235780976221
iteration 271 res= 0.0004904869551287794
iteration 272 res= 0.00048374440942494824
iteration 273 res= 0.0004770946427009313
iteration 274 res= 0.000470536374732366
iteration 275 res= 0.0004640683430989626
iteration 276 res= 0.0004576893029314665
iteration 277 res= 0.00045139802666244205
iteration 278 res= 0.0004451933037808829
iteration 279 res= 0.00043907394059037843
iteration 280 res= 0.0004330387599710549
iteration 281 res= 0.00042708660114481857
iteration 282 res= 0.0004212163194443691
iteration 283 res= 0.0004154267860854548
iteration 284 res= 0.0004097168879425399
iteration 285 res= 0.00040408552732787813
iteration 286 res= 0.0003985316217737422
iteration 287 res= 0.0003930541038178998
iteration 288 res= 0.00038765192079231786
iteration 289 res= 0.0003823240346148249
iteration 290 res= 0.00037706942158399916
iteration 291 res= 0.000371887072176918
iteration 292 res= 0.00036677599084996784
iteration 293 res= 0.00036173519584250553
iteration 294 res= 0.0003567637189834118
iteration 295 res= 0.0003518606055004487
iteration 296 res= 0.0003470249138323727
iteration 297 res= 0.00034225571544383636
iteration 298 res= 0.0003375520946429079
iteration 299 res= 0.00033291314840126285
iteration 300 res= 0.00032833798617694766
iteration 301 res= 0.00032382572973983466
iteration 302 res= 0.00031937551299935366
iteration 303 res= 0.000314986481834931
iteration 304 res= 0.00031065779392879563
iteration 305 res= 0.0003063886186010778
iteration 306 res= 0.00030217813664752045
iteration 307 res= 0.0002980255401792292
iteration 308 res= 0.00029393003246500445
iteration 309 res= 0.0002898908277756472
iteration 310 res= 0.0002859071512307771
iteration 311 res= 0.000281978238647573
iteration 312 res= 0.0002781033363919083
iteration 313 res= 0.00027428170123139963
iteration 314 res= 0.00027051260019073385
iteration 315 res= 0.00026679531040890817
iteration 316 res= 0.0002631291189986039
iteration 317 res= 0.0002595133229074687
iteration 318 res= 0.00025594722878148363
iteration 319 res= 0.0002524301528301413
iteration 320 res= 0.0002489614206936301
iteration 321 res= 0.0002455403673118469
iteration 322 res= 0.00024216633679531238
iteration 323 res= 0.00023883868229783445
iteration 324 res= 0.00023555676589107158
iteration 325 res= 0.00023231995844078663
iteration 326 res= 0.00022912763948485545
iteration 327 res= 0.00022597919711308994
iteration 328 res= 0.00022287402784859796
iteration 329 res= 0.00021981153653095173
iteration 330 res= 0.00021679113620092907
iteration 331 res= 0.00021381224798692054
iteration 332 res= 0.00021087430099283637
iteration 333 res= 0.00020797673218777952
iteration 334 res= 0.00020511898629702412
iteration 335 res= 0.00020230051569474947
iteration 336 res= 0.00019952078029812246
iteration 337 res= 0.00019677924746292868
iteration 338 res= 0.0001940753918806743
iteration 339 res= 0.0001914086954771383
iteration 340 res= 0.00018877864731223603
iteration 341 res= 0.00018618474348148243
iteration 342 res= 0.00018362648701864706
iteration 343 res= 0.0001811033877998466
iteration 344 res= 0.0001786149624489968
iteration 345 res= 0.00017616073424457884
iteration 346 res= 0.00017374023302765528
iteration 347 res= 0.00017135299511121462
iteration 348 res= 0.000168998563190804
iteration 349 res= 0.00016667648625635052
iteration 350 res= 0.00016438631950522982
iteration 351 res= 0.00016212762425659415
iteration 352 res= 0.00015989996786680568
iteration 353 res= 0.00015770292364614483
iteration 354 res= 0.0001555360707766003
iteration 355 res= 0.000153398994230856
iteration 356 res= 0.0001512912846923413
iteration 357 res= 0.0001492125384764743
iteration 358 res= 0.00014716235745298453
iteration 359 res= 0.00014514034896921082
iteration 360 res= 0.00014314612577460858
iteration 361 res= 0.00014117930594623312
iteration 362 res= 0.00013923951281523983
iteration 363 res= 0.00013732637489447186
iteration 364 res= 0.0001354395258069982
iteration 365 res= 0.00013357860421564497
iteration 366 res= 0.00013174325375354127
iteration 367 res= 0.00012993312295558898
iteration 368 res= 0.00012814786519089072
iteration 369 res= 0.0001263871385961654
iteration 370 res= 0.00012465060600999609
iteration 371 res= 0.00012293793490808928
iteration 372 res= 0.00012124879733930423
iteration 373 res= 0.00011958286986273097
iteration 374 res= 0.00011793983348546948
iteration 375 res= 0.00011631937360145951
iteration 376 res= 0.00011472117993089234
iteration 377 res= 0.00011314494646081535
iteration 378 res= 0.00011159037138615583
iteration 379 res= 0.00011005715705197291
iteration 380 res= 0.00010854500989614187
iteration 381 res= 0.000107053640393076
iteration 382 res= 0.00010558276299811141
iteration 383 res= 0.00010413209609269955
iteration 384 res= 0.00010270136193037442
iteration 385 res= 0.00010129028658340466
iteration 386 res= 9.98985998902484e-05
iteration 387 res= 9.852603540368492e-05
iteration 388 res= 9.717233033971179e-05
iteration 389 res= 9.583722552709536e-05
iteration 390 res= 9.45204653576357e-05
iteration 391 res= 9.322179773720817e-05
iteration 392 res= 9.19409740372493e-05
iteration 393 res= 9.067774904721001e-05
iteration 394 res= 8.943188092742385e-05
iteration 395 res= 8.820313116279269e-05
iteration 396 res= 8.699126451692341e-05
iteration 397 res= 8.579604898714938e-05
iteration 398 res= 8.461725575996149e-05
iteration 399 res= 8.345465916709958e-05
iteration 400 res= 8.230803664237456e-05
iteration 401 res= 8.11771686788897e-05
iteration 402 res= 8.006183878700617e-05
iteration 403 res= 7.896183345282972e-05
iteration 404 res= 7.787694209726307e-05
iteration 405 res= 7.680695703563715e-05
iteration 406 res= 7.575167343788693e-05
iteration 407 res= 7.471088928931207e-05
iteration 408 res= 7.368440535182689e-05
iteration 409 res= 7.267202512577547e-05
iteration 410 res= 7.167355481226384e-05
iteration 411 res= 7.068880327604704e-05
iteration 412 res= 6.971758200881336e-05
iteration 413 res= 6.875970509314675e-05
iteration 414 res= 6.78149891668565e-05
iteration 415 res= 6.688325338782177e-05
iteration 416 res= 6.596431939936081e-05
iteration 417 res= 6.505801129603892e-05
iteration 418 res= 6.416415558992872e-05
iteration 419 res= 6.328258117750278e-05
iteration 420 res= 6.241311930663991e-05
iteration 421 res= 6.155560354442374e-05
iteration 422 res= 6.070986974525415e-05
iteration 423 res= 5.98757560193412e-05
iteration 424 res= 5.905310270171566e-05
iteration 425 res= 5.8241752321672265e-05
iteration 426 res= 5.744154957255584e-05
iteration 427 res= 5.665234128197446e-05
iteration 428 res= 5.587397638255004e-05
iteration 429 res= 5.510630588292769e-05
iteration 430 res= 5.434918283921399e-05
iteration 431 res= 5.360246232685851e-05
iteration 432 res= 5.28660014129065e-05
iteration 433 res= 5.213965912854191e-05
iteration 434 res= 5.142329644220869e-05
iteration 435 res= 5.071677623287515e-05
iteration 436 res= 5.001996326380935e-05
iteration 437 res= 4.9332724156658535e-05
iteration 438 res= 4.865492736595519e-05
iteration 439 res= 4.7986443153856565e-05
iteration 440 res= 4.7327143565346456e-05
iteration 441 res= 4.6676902403680316e-05
iteration 442 res= 4.603559520622855e-05
iteration 443 res= 4.5403099220737555e-05
iteration 444 res= 4.477929338164458e-05
iteration 445 res= 4.416405828703569e-05
iteration 446 res= 4.3557276175693415e-05
iteration 447 res= 4.29588309046074e-05
iteration 448 res= 4.2368607926721074e-05
iteration 449 res= 4.17864942689424e-05
iteration 450 res= 4.121237851055954e-05
iteration 451 res= 4.064615076190458e-05
iteration 452 res= 4.008770264329065e-05
iteration 453 res= 3.953692726428111e-05
iteration 454 res= 3.8993719203166894e-05
iteration 455 res= 3.8457974486872674e-05
iteration 456 res= 3.79295905709389e-05
iteration 457 res= 3.7408466320005056e-05
iteration 458 res= 3.689450198832634e-05
iteration 459 res= 3.638759920077451e-05
iteration 460 res= 3.5887660933918107e-05
iteration 461 res= 3.5394591497527506e-05
iteration 462 res= 3.490829651617686e-05
iteration 463 res= 3.4428682911205534e-05
iteration 464 res= 3.395565888293071e-05
iteration 465 res= 3.348913389301089e-05
iteration 466 res= 3.302901864714575e-05
iteration 467 res= 3.2575225077989435e-05
iteration 468 res= 3.2127666328263005e-05
iteration 469 res= 3.168625673411682e-05
iteration 470 res= 3.125091180878627e-05
iteration 471 res= 3.082154822634119e-05
iteration 472 res= 3.0398083805786505e-05
iteration 473 res= 2.998043749532844e-05
iteration 474 res= 2.9568529356807312e-05
iteration 475 res= 2.916228055046904e-05
iteration 476 res= 2.8761613319769555e-05
iteration 477 res= 2.8366450976608554e-05
iteration 478 res= 2.7976717886559725e-05
iteration 479 res= 2.7592339454418208e-05
iteration 480 res= 2.7213242109925206e-05
iteration 481 res= 2.6839353293700188e-05
iteration 482 res= 2.6470601443285914e-05
iteration 483 res= 2.6106915979525028e-05
iteration 484 res= 2.5748227292996332e-05
iteration 485 res= 2.539446673074001e-05
iteration 486 res= 2.504556658304414e-05
iteration 487 res= 2.4701460070543832e-05
iteration 488 res= 2.4362081331413285e-05
iteration 489 res= 2.402736540876462e-05
iteration 490 res= 2.3697248238186124e-05
iteration 491 res= 2.337166663552109e-05
iteration 492 res= 2.30505582847543e-05
iteration 493 res= 2.2733861726088263e-05
iteration 494 res= 2.2421516344125203e-05
iteration 495 res= 2.2113462356347832e-05
iteration 496 res= 2.1809640801639115e-05
iteration 497 res= 2.1509993528977585e-05
iteration 498 res= 2.1214463186327964e-05
iteration 499 res= 2.0922993209640892e-05
iteration 500 res= 2.0635527812072218e-05
iteration 501 res= 2.0352011973243236e-05
iteration 502 res= 2.0072391428746526e-05
iteration 503 res= 1.9796612659768636e-05
iteration 504 res= 1.952462288277464e-05
iteration 505 res= 1.9256370039507276e-05
iteration 506 res= 1.8991802786965872e-05
iteration 507 res= 1.8730870487562395e-05
iteration 508 res= 1.8473523199457097e-05
iteration 509 res= 1.8219711666983736e-05
iteration 510 res= 1.7969387311232552e-05
iteration 511 res= 1.7722502220772948e-05
iteration 512 res= 1.747900914242783e-05
iteration 513 res= 1.723886147227309e-05
iteration 514 res= 1.7002013246680412e-05
iteration 515 res= 1.676841913354895e-05
iteration 516 res= 1.6538034423658578e-05
iteration 517 res= 1.6310815021997474e-05
iteration 518 res= 1.608671743947409e-05
iteration 519 res= 1.5865698784456028e-05
iteration 520 res= 1.564771675466398e-05
iteration 521 res= 1.5432729629011974e-05
iteration 522 res= 1.5220696259625265e-05
iteration 523 res= 1.5011576064000944e-05
iteration 524 res= 1.4805329017218728e-05
iteration 525 res= 1.4601915644276485e-05
iteration 526 res= 1.4401297012520998e-05
iteration 527 res= 1.4203434724225752e-05
iteration 528 res= 1.4008290909238202e-05
iteration 529 res= 1.3815828217680814e-05
iteration 530 res= 1.3626009812903334e-05
iteration 531 res= 1.3438799364311088e-05
iteration 532 res= 1.3254161040503283e-05
iteration 533 res= 1.3072059502377703e-05
iteration 534 res= 1.2892459896362076e-05
iteration 535 res= 1.2715327847755757e-05
iteration 536 res= 1.2540629454140222e-05
iteration 537 res= 1.236833127892583e-05
iteration 538 res= 1.2198400344857686e-05
iteration 539 res= 1.2030804127834024e-05
iteration 540 res= 1.1865510550568645e-05
iteration 541 res= 1.1702487976526392e-05
iteration 542 res= 1.1541705203835396e-05
iteration 543 res= 1.1383131459279391e-05
iteration 544 res= 1.1226736392497831e-05
iteration 545 res= 1.1072490070102246e-05
iteration 546 res= 1.0920362969957407e-05
iteration 547 res= 1.0770325975566385e-05
iteration 548 res= 1.0622350370452333e-05
iteration 549 res= 1.0476407832691725e-05
iteration 550 res= 1.0332470429487766e-05
iteration 551 res= 1.0190510611836723e-05
iteration 552 res= 1.005050120921221e-05
iteration 553 res= 9.91241542438913e-06
iteration 554 res= 9.776226828362013e-06
iteration 555 res= 9.641909355189532e-06
iteration 556 res= 9.509437297093308e-06
iteration 557 res= 9.378785299480245e-06
iteration 558 res= 9.249928356147489e-06
iteration 559 res= 9.122841804400887e-06
iteration 560 res= 8.997501320449961e-06
iteration 561 res= 8.8738829146687e-06
iteration 562 res= 8.751962927012061e-06
iteration 563 res= 8.631718022580567e-06
iteration 564 res= 8.513125186992284e-06
iteration 565 res= 8.396161722131952e-06
iteration 566 res= 8.280805241684333e-06
iteration 567 res= 8.16703366696607e-06
iteration 568 res= 8.054825222580238e-06
iteration 569 res= 7.94415843236444e-06
iteration 570 res= 7.8350121151719e-06
iteration 571 res= 7.727365380912911e-06
iteration 572 res= 7.621197626469506e-06
iteration 573 res= 7.516488531819619e-06
iteration 574 res= 7.413218056147077e-06
iteration 575 res= 7.311366433940005e-06
iteration 576 res= 7.210914171261402e-06
iteration 577 res= 7.111842042028687e-06
iteration 578 res= 7.01413108426448e-06
iteration 579 res= 6.917762596575794e-06
iteration 580 res= 6.822718134465209e-06
iteration 581 res= 6.728979506876731e-06
iteration 582 res= 6.6365287726637194e-06
iteration 583 res= 6.545348237201027e-06
iteration 584 res= 6.455420448937443e-06
iteration 585 res= 6.366728196158377e-06
iteration 586 res= 6.279254503545001e-06
iteration 587 res= 6.192982629062653e-06
iteration 588 res= 6.107896060669359e-06
iteration 589 res= 6.023978513225437e-06
iteration 590 res= 5.941213925298137e-06
iteration 591 res= 5.8595864561205e-06
iteration 592 res= 5.779080482626883e-06
iteration 593 res= 5.699680596318089e-06
iteration 594 res= 5.621371600445931e-06
iteration 595 res= 5.544138507039576e-06
iteration 596 res= 5.467966534081841e-06
iteration 597 res= 5.392841102594967e-06
iteration 598 res= 5.318747833945106e-06
iteration 599 res= 5.245672547037219e-06
iteration 600 res= 5.1736012556074996e-06
iteration 601 res= 5.102520165565222e-06
iteration 602 res= 5.032415672332935e-06
iteration 603 res= 4.9632743582485296e-06
iteration 604 res= 4.895082990001085e-06
iteration 605 res= 4.827828516101396e-06
iteration 606 res= 4.761498064357539e-06
iteration 607 res= 4.696078939451168e-06
iteration 608 res= 4.631558620476784e-06
iteration 609 res= 4.567924758563753e-06
iteration 610 res= 4.505165174500594e-06
iteration 611 res= 4.443267856418581e-06
iteration 612 res= 4.382220957458106e-06
iteration 613 res= 4.32201279355107e-06
iteration 614 res= 4.262631841144873e-06
iteration 615 res= 4.20406673503597e-06
iteration 616 res= 4.14630626612767e-06
iteration 617 res= 4.089339379343828e-06
iteration 618 res= 4.033155171543706e-06
iteration 619 res= 3.977742889310151e-06
iteration 620 res= 3.923091927017895e-06
iteration 621 res= 3.86919182473513e-06
iteration 622 res= 3.816032266267512e-06
iteration 623 res= 3.7636030771172796e-06
iteration 624 res= 3.71189422260038e-06
iteration 625 res= 3.660895805916253e-06
iteration 626 res= 3.6105980661982686e-06
iteration 627 res= 3.560991376723551e-06
iteration 628 res= 3.5120662430136316e-06
iteration 629 res= 3.463813301050634e-06
iteration 630 res= 3.4162233154336305e-06
iteration 631 res= 3.3692871776920687e-06
iteration 632 res= 3.3229959045015813e-06
iteration 633 res= 3.2773406359217477e-06
iteration 634 res= 3.2323126337494496e-06
iteration 635 res= 3.1879032798831167e-06
iteration 636 res= 3.1441040745721575e-06
iteration 637 res= 3.1009066348664202e-06
iteration 638 res= 3.0583026929967562e-06
iteration 639 res= 3.0162840947818825e-06
iteration 640 res= 2.9748427980784953e-06
iteration 641 res= 2.9339708712085968e-06
iteration 642 res= 2.89366049152692e-06
iteration 643 res= 2.853903943783089e-06
iteration 644 res= 2.814693618811081e-06
iteration 645 res= 2.7760220119243286e-06
iteration 646 res= 2.7378817215805044e-06
iteration 647 res= 2.7002654479423812e-06
iteration 648 res= 2.6631659914077622e-06
iteration 649 res= 2.626576251343839e-06
iteration 650 res= 2.5904892246529526e-06
iteration 651 res= 2.554898004471734e-06
iteration 652 res= 2.519795778795417e-06
iteration 653 res= 2.485175829259252e-06
iteration 654 res= 2.4510315297654936e-06
iteration 655 res= 2.417356345279921e-06
iteration 656 res= 2.3841438305254625e-06
iteration 657 res= 2.3513876287934866e-06
iteration 658 res= 2.3190814707331234e-06
iteration 659 res= 2.287219173082758e-06
iteration 660 res= 2.255794637574766e-06
iteration 661 res= 2.2248018497117877e-06
iteration 662 res= 2.194234877618424e-06
iteration 663 res= 2.164087870949272e-06
iteration 664 res= 2.134355059697924e-06
iteration 665 res= 2.105030753170029e-06
iteration 666 res= 2.0761093388261588e-06
iteration 667 res= 2.047585281273978e-06
iteration 668 res= 2.0194531211449646e-06
iteration 669 res= 1.991707474082117e-06
iteration 670 res= 1.964343029696402e-06
iteration 671 res= 1.937354550595616e-06
iteration 672 res= 1.910736871305874e-06
iteration 673 res= 1.8844848973340027e-06
iteration 674 res= 1.8585936041936275e-06
iteration 675 res= 1.833058036442482e-06
iteration 676 res= 1.807873306659926e-06
iteration 677 res= 1.7830345946531105e-06
iteration 678 res= 1.7585371463963765e-06
iteration 679 res= 1.7343762731976364e-06
iteration 680 res= 1.710547350811855e-06
iteration 681 res= 1.6870458184868213e-06
iteration 682 res= 1.6638671781442963e-06
iteration 683 res= 1.6410069935234305e-06
iteration 684 res= 1.6184608892926782e-06
iteration 685 res= 1.596224550241645e-06
iteration 686 res= 1.5742937204616135e-06
iteration 687 res= 1.5526642024859626e-06
iteration 688 res= 1.531331856542912e-06
iteration 689 res= 1.5102925997151507e-06
iteration 690 res= 1.4895424052178241e-06
iteration 691 res= 1.4690773015519533e-06
iteration 692 res= 1.4488933718100165e-06
iteration 693 res= 1.4289867528748286e-06
iteration 694 res= 1.4093536347508964e-06
iteration 695 res= 1.3899902597436885e-06
iteration 696 res= 1.3708929217814924e-06
iteration 697 res= 1.352057965747212e-06
iteration 698 res= 1.3334817867318555e-06
iteration 699 res= 1.3151608293416554e-06
iteration 700 res= 1.2970915870460925e-06
iteration 701 res= 1.2792706014737654e-06
iteration 702 res= 1.2616944617779757e-06
iteration 703 res= 1.2443598039825515e-06
iteration 704 res= 1.2272633103295307e-06
iteration 705 res= 1.2104017086174213e-06
iteration 706 res= 1.1937717716297164e-06
iteration 707 res= 1.1773703164820084e-06
iteration 708 res= 1.161194204007716e-06
iteration 709 res= 1.145240338203072e-06
iteration 710 res= 1.1295056655675621e-06
iteration 711 res= 1.1139871745692467e-06
iteration 712 res= 1.0986818950368167e-06
iteration 713 res= 1.0835868976279029e-06
iteration 714 res= 1.0686992932246637e-06
iteration 715 res= 1.0540162324290298e-06
iteration 716 res= 1.0395349049971244e-06
iteration 717 res= 1.0252525392177282e-06
iteration 718 res= 1.011166401565346e-06
iteration 719 res= 9.972737960055163e-07
iteration 720 res= 9.835720635727922e-07
iteration 721 res= 9.700585818353643e-07
iteration 722 res= 9.567307643680844e-07
iteration 723 res= 9.435860602860818e-07
iteration 724 res= 9.30621953771071e-07
iteration 725 res= 9.178359635677189e-07
iteration 726 res= 9.05225642481371e-07
iteration 727 res= 8.927885769755884e-07
iteration 728 res= 8.805223866626383e-07
iteration 729 res= 8.684247238336984e-07
iteration 730 res= 8.56493273089252e-07
iteration 731 res= 8.447257507807357e-07
iteration 732 res= 8.331199046890856e-07
iteration 733 res= 8.216735134902866e-07
iteration 734 res= 8.103843864311542e-07
iteration 735 res= 7.992503628103648e-07
iteration 736 res= 7.882693116313131e-07
iteration 737 res= 7.774391311803948e-07
iteration 738 res= 7.667577486274225e-07
iteration 739 res= 7.562231195951519e-07
iteration 740 res= 7.458332278094533e-07
iteration 741 res= 7.355860847201666e-07
iteration 742 res= 7.254797290530035e-07
iteration 743 res= 7.155122265013862e-07
iteration 744 res= 7.056816693425752e-07
iteration 745 res= 6.959861760711115e-07
iteration 746 res= 6.864238910083353e-07
iteration 747 res= 6.769929839694957e-07
iteration 748 res= 6.676916499495534e-07
iteration 749 res= 6.585181086951244e-07
iteration 750 res= 6.494706044701668e-07
iteration 751 res= 6.405474055921332e-07
iteration 752 res= 6.31746804233173e-07
iteration 753 res= 6.230671159880186e-07
iteration 754 res= 6.145066796269033e-07
iteration 755 res= 6.060638566853438e-07
iteration 756 res= 5.977370313033323e-07
iteration 757 res= 5.895246097319718e-07
iteration 758 res= 5.814250201672253e-07
iteration 759 res= 5.734367123883148e-07
iteration 760 res= 5.655581574754693e-07
iteration 761 res= 5.57787847517935e-07
iteration 762 res= 5.501242952996463e-07
iteration 763 res= 5.425660340878632e-07
iteration 764 res= 5.351116172274719e-07
iteration 765 res= 5.277596180054449e-07
iteration 766 res= 5.205086292997377e-07
iteration 767 res= 5.133572632812229e-07
iteration 768 res= 5.063041512342942e-07
iteration 769 res= 4.993479432078307e-07
iteration 770 res= 4.924873078433326e-07
iteration 771 res= 4.857209320503717e-07
iteration 772 res= 4.790475207480968e-07
iteration 773 res= 4.7246579670980434e-07
iteration 774 res= 4.65974500215008e-07
iteration 775 res= 4.5957238886105585e-07
iteration 776 res= 4.532582373313546e-07
iteration 777 res= 4.4703083710549495e-07
iteration 778 res= 4.40888996300808e-07
iteration 779 res= 4.348315394185244e-07
iteration 780 res= 4.2885730706727105e-07
iteration 781 res= 4.2296515582177255e-07
iteration 782 res= 4.171539579468978e-07
iteration 783 res= 4.114226012216223e-07
iteration 784 res= 4.057699886783593e-07
iteration 785 res= 4.00195038440947e-07
iteration 786 res= 3.946966834883386e-07
iteration 787 res= 3.892738714831724e-07
iteration 788 res= 3.839255645128162e-07
iteration 789 res= 3.7865073893161035e-07
iteration 790 res= 3.7344838517945644e-07
iteration 791 res= 3.6831750753998855e-07
iteration 792 res= 3.632571239832806e-07
iteration 793 res= 3.582662659968393e-07
iteration 794 res= 3.533439783514639e-07
iteration 795 res= 3.484893189401684e-07
iteration 796 res= 3.4370135861158414e-07
iteration 797 res= 3.389791809557051e-07
iteration 798 res= 3.343218821995261e-07
iteration 799 res= 3.297285709626039e-07
iteration 800 res= 3.2519836807584633e-07
iteration 801 res= 3.207304064918974e-07
iteration 802 res= 3.1632383109280923e-07
iteration 803 res= 3.119777984490796e-07
iteration 804 res= 3.0769147677204536e-07
iteration 805 res= 3.0346404566701807e-07
iteration 806 res= 2.992946960452109e-07
iteration 807 res= 2.9518262989727527e-07
iteration 808 res= 2.91127060197297e-07
iteration 809 res= 2.8712721072740293e-07
iteration 810 res= 2.831823159500368e-07
iteration 811 res= 2.79291620834115e-07
iteration 812 res= 2.7545438069154676e-07
iteration 813 res= 2.7166986112072625e-07
iteration 814 res= 2.679373377825878e-07
iteration 815 res= 2.6425609626973794e-07
iteration 816 res= 2.60625432046131e-07
iteration 817 res= 2.5704465018664383e-07
iteration 818 res= 2.535130653762732e-07
iteration 819 res= 2.500300016615044e-07
iteration 820 res= 2.4659479241412505e-07
iteration 821 res= 2.4320678016306087e-07
iteration 822 res= 2.3986531644012435e-07
iteration 823 res= 2.3656976172150075e-07
iteration 824 res= 2.3331948524618315e-07
iteration 825 res= 2.3011386494338866e-07
iteration 826 res= 2.2695228725235466e-07
iteration 827 res= 2.238341470639586e-07
iteration 828 res= 2.2075884760544393e-07
iteration 829 res= 2.1772580024815873e-07
iteration 830 res= 2.1473442451657755e-07
iteration 831 res= 2.117841478485599e-07
iteration 832 res= 2.088744055878357e-07
iteration 833 res= 2.060046408245776e-07
iteration 834 res= 2.0317430429749966e-07
iteration 835 res= 2.003828543006036e-07
iteration 836 res= 1.976297565594483e-07
iteration 837 res= 1.949144841480855e-07
iteration 838 res= 1.9223651737713088e-07
iteration 839 res= 1.8959534368152337e-07
iteration 840 res= 1.8699045759210372e-07
iteration 841 res= 1.8442136050473178e-07
iteration 842 res= 1.818875607297657e-07
iteration 843 res= 1.793885733041347e-07
iteration 844 res= 1.769239199303403e-07
iteration 845 res= 1.7449312891786651e-07
iteration 846 res= 1.7209573497964506e-07
iteration 847 res= 1.6973127929579093e-07
iteration 848 res= 1.6739930930784257e-07
iteration 849 res= 1.650993786938887e-07
iteration 850 res= 1.6283104727068234e-07
iteration 851 res= 1.605938808689276e-07
iteration 852 res= 1.5838745132739276e-07
iteration 853 res= 1.5621133631968823e-07
iteration 854 res= 1.5406511938359275e-07
iteration 855 res= 1.5194838971425951e-07
iteration 856 res= 1.498607421968768e-07
iteration 857 res= 1.4780177726832662e-07
iteration 858 res= 1.4577110083756291e-07
iteration 859 res= 1.437683242447562e-07
iteration 860 res= 1.4179306418471782e-07
iteration 861 res= 1.3984494259649153e-07
iteration 862 res= 1.3792358662036097e-07
iteration 863 res= 1.3602862850662532e-07
iteration 864 res= 1.341597055866288e-07
iteration 865 res= 1.3231646014039378e-07
iteration 866 res= 1.3049853940133655e-07
iteration 867 res= 1.2870559541431299e-07
iteration 868 res= 1.269372850183054e-07
iteration 869 res= 1.2519326977123633e-07
iteration 870 res= 1.2347321588196066e-07
iteration 871 res= 1.217767941323583e-07
iteration 872 res= 1.201036798469105e-07
iteration 873 res= 1.1845355279110761e-07
iteration 874 res= 1.1682609714160612e-07
iteration 875 res= 1.152210014075458e-07
iteration 876 res= 1.136379583878647e-07
iteration 877 res= 1.1207666510181047e-07
iteration 878 res= 1.1053682271319834e-07
iteration 879 res= 1.090181364978928e-07
iteration 880 res= 1.0752031579870268e-07
iteration 881 res= 1.0604307395852179e-07
iteration 882 res= 1.0458612819916141e-07
iteration 883 res= 1.0314919971368875e-07
iteration 884 res= 1.0173201345490836e-07
iteration 885 res= 1.0033429816790807e-07
iteration 886 res= 9.895578637246975e-08
iteration 887 res= 9.759621420205265e-08
iteration 888 res= 9.625532145380201e-08
iteration 889 res= 9.493285147546725e-08
iteration 890 res= 9.3628551164479e-08
iteration 891 res= 9.234217088721998e-08
iteration 892 res= 9.107346442453208e-08
iteration 893 res= 8.982218896602567e-08
iteration 894 res= 8.858810500619308e-08
iteration 895 res= 8.737097636041496e-08
iteration 896 res= 8.617057007632026e-08
iteration 897 res= 8.498665639019465e-08
iteration 898 res= 8.381900873406225e-08
iteration 899 res= 8.266740360996993e-08
iteration 900 res= 8.153162058902952e-08
iteration 901 res= 8.04114423163307e-08
iteration 902 res= 7.930665437036461e-08
iteration 903 res= 7.821704532877173e-08
iteration 904 res= 7.71424066226727e-08
iteration 905 res= 7.608253257484617e-08
iteration 906 res= 7.503722035383636e-08
iteration 907 res= 7.400626986584763e-08
iteration 908 res= 7.298948379400162e-08
iteration 909 res= 7.198666754833949e-08
iteration 910 res= 7.09976291818609e-08
iteration 911 res= 7.002217939823003e-08
iteration 912 res= 6.906013148755061e-08
iteration 913 res= 6.811130133982537e-08
iteration 914 res= 6.717550736731428e-08
iteration 915 res= 6.625257042884367e-08
iteration 916 res= 6.534231389431823e-08
iteration 917 res= 6.444456354642378e-08
iteration 918 res= 6.35591475658727e-08
iteration 919 res= 6.268589647581184e-08
iteration 920 res= 6.182464315033788e-08
iteration 921 res= 6.097522274092465e-08
iteration 922 res= 6.013747268116727e-08
iteration 923 res= 5.931123263847961e-08
iteration 924 res= 5.849634445174112e-08
iteration 925 res= 5.769265216173688e-08
iteration 926 res= 5.690000195677042e-08
iteration 927 res= 5.6118242125742767e-08
iteration 928 res= 5.534722304045493e-08
iteration 929 res= 5.4586797121211655e-08
iteration 930 res= 5.383681884834191e-08
iteration 931 res= 5.309714466727463e-08
iteration 932 res= 5.236763300738726e-08
iteration 933 res= 5.164814423789034e-08
iteration 934 res= 5.093854065721601e-08
iteration 935 res= 5.0238686459851815e-08
iteration 936 res= 4.9548447702941143e-08
iteration 937 res= 4.886769225627127e-08
iteration 938 res= 4.819628984093517e-08
iteration 939 res= 4.753411194334228e-08
iteration 940 res= 4.688103183630812e-08
iteration 941 res= 4.623692451270183e-08
iteration 942 res= 4.560166670756158e-08
iteration 943 res= 4.497513684323499e-08
iteration 944 res= 4.4357214966138604e-08
iteration 945 res= 4.374778284382607e-08
iteration 946 res= 4.3146723828127433e-08
iteration 947 res= 4.255392285937742e-08
iteration 948 res= 4.196926650939042e-08
iteration 949 res= 4.139264286603403e-08
iteration 950 res= 4.082394154349409e-08
iteration 951 res= 4.026305373010949e-08
iteration 952 res= 3.970987207121857e-08
iteration 953 res= 3.916429066888301e-08
iteration 954 res= 3.862620510921282e-08
iteration 955 res= 3.809551240211115e-08
iteration 956 res= 3.7572110993411804e-08
iteration 957 res= 3.705590068837061e-08
iteration 958 res= 3.6546782690498294e-08
iteration 959 res= 3.6044659570055255e-08
iteration 960 res= 3.5549435215560785e-08
iteration 961 res= 3.506101484240894e-08
iteration 962 res= 3.457930495020287e-08
iteration 963 res= 3.410421337747203e-08
iteration 964 res= 3.363564916457091e-08
iteration 965 res= 3.3173522661039894e-08
iteration 966 res= 3.27177453839846e-08
iteration 967 res= 3.226823012568907e-08
iteration 968 res= 3.18248908455579e-08
iteration 969 res= 3.138764267205407e-08
iteration 970 res= 3.0956401951870296e-08
iteration 971 res= 3.053108611128666e-08
iteration 972 res= 3.011161378149839e-08
iteration 973 res= 2.9697904651577707e-08
iteration 974 res= 2.928987954782195e-08
iteration 975 res= 2.8887460381335765e-08
iteration 976 res= 2.8490570129782678e-08
iteration 977 res= 2.809913282837525e-08
iteration 978 res= 2.7713073556456228e-08
iteration 979 res= 2.733231842002208e-08
iteration 980 res= 2.6956794549358718e-08
iteration 981 res= 2.6586430081313818e-08
iteration 982 res= 2.6221154116416602e-08
iteration 983 res= 2.5860896744937203e-08
iteration 984 res= 2.5505589020810506e-08
iteration 985 res= 2.5155162937637426e-08
iteration 986 res= 2.480955141420751e-08
iteration 987 res= 2.4468688322695497e-08
iteration 988 res= 2.413250840996505e-08
iteration 989 res= 2.380094733222787e-08
iteration 990 res= 2.3473941636760532e-08
iteration 991 res= 2.3151428740681202e-08
iteration 992 res= 2.2833346908563155e-08
iteration 993 res= 2.2519635254418385e-08
iteration 994 res= 2.2210233759685583e-08
iteration 995 res= 2.1905083170126303e-08
iteration 996 res= 2.1604125116859914e-08
iteration 997 res= 2.1307301970457093e-08
iteration 998 res= 2.1014556933272555e-08
iteration 999 res= 2.072583399247498e-08
iteration 1000 res= 2.0441077852041042e-08
iteration 1001 res= 2.016023404407948e-08
iteration 1002 res= 1.988324878740525e-08
iteration 1003 res= 1.9610069089538715e-08
iteration 1004 res= 1.934064265915551e-08
iteration 1005 res= 1.9074917935399035e-08
iteration 1006 res= 1.881284405121477e-08
iteration 1007 res= 1.8554370838921893e-08
iteration 1008 res= 1.8299448851004696e-08
iteration 1009 res= 1.804802927823209e-08
iteration 1010 res= 1.780006401287035e-08
iteration 1011 res= 1.755550557607619e-08
iteration 1012 res= 1.7314307180782044e-08
iteration 1013 res= 1.70764226689353e-08
iteration 1014 res= 1.684180647878445e-08
iteration 1015 res= 1.661041373862165e-08
iteration 1016 res= 1.6382200125324833e-08
iteration 1017 res= 1.6157121995544838e-08
iteration 1018 res= 1.593513625303192e-08
iteration 1019 res= 1.5716200429890295e-08
iteration 1020 res= 1.5500272589058757e-08
iteration 1021 res= 1.5287311423528937e-08
iteration 1022 res= 1.5077276185552118e-08
iteration 1023 res= 1.4870126649549754e-08
iteration 1024 res= 1.4665823171826354e-08
iteration 1025 res= 1.4464326683285988e-08
iteration 1026 res= 1.4265598564692116e-08
iteration 1027 res= 1.4069600824566074e-08
iteration 1028 res= 1.3876295931521244e-08
iteration 1029 res= 1.3685646891753328e-08
iteration 1030 res= 1.3497617218728434e-08
iteration 1031 res= 1.3312170911824881e-08
iteration 1032 res= 1.3129272483674086e-08
iteration 1033 res= 1.2948886942405e-08
iteration 1034 res= 1.277097975239419e-08
iteration 1035 res= 1.2595516847568828e-08
iteration 1036 res= 1.2422464676774915e-08
iteration 1037 res= 1.2251790106502366e-08
iteration 1038 res= 1.2083460448557326e-08
iteration 1039 res= 1.1917443509672249e-08
iteration 1040 res= 1.175370751686568e-08
iteration 1041 res= 1.1592221117566454e-08
iteration 1042 res= 1.1432953401769533e-08
iteration 1043 res= 1.1275873912643786e-08
iteration 1044 res= 1.1120952556356904e-08
iteration 1045 res= 1.0968159694944652e-08
iteration 1046 res= 1.0817466086216224e-08
iteration 1047 res= 1.0668842887956969e-08
iteration 1048 res= 1.0522261642833315e-08
iteration 1049 res= 1.0377694309296993e-08
iteration 1050 res= 1.0235113218041585e-08
iteration 1051 res= 1.0094491081610007e-08
iteration 1052 res= 9.955800959468116e-09
iteration 1053 res= 9.819016339413737e-09
iteration 1054 res= 9.684111020480524e-09
iteration 1055 res= 9.551059202512336e-09
iteration 1056 res= 9.41983539667056e-09
iteration 1057 res= 9.290414512693373e-09
iteration 1058 res= 9.162771755192398e-09
iteration 1059 res= 9.036882711834327e-09
iteration 1060 res= 8.912723274012169e-09
iteration 1061 res= 8.790269700494604e-09
iteration 1062 res= 8.669498526513673e-09
iteration 1063 res= 8.550386658345834e-09
iteration 1064 res= 8.4329112850224e-09
iteration 1065 res= 8.317049926499982e-09
iteration 1066 res= 8.20278040915028e-09
iteration 1067 res= 8.090080875328715e-09
iteration 1068 res= 7.978929725877198e-09
iteration 1069 res= 7.869305704937035e-09
iteration 1070 res= 7.761187835174138e-09
iteration 1071 res= 7.654555424792147e-09
iteration 1072 res= 7.54938804180488e-09
iteration 1073 res= 7.445665566833718e-09
iteration 1074 res= 7.343368177647046e-09
iteration 1075 res= 7.2424762666737146e-09
iteration 1076 res= 7.142970521525175e-09
iteration 1077 res= 7.0448318988346594e-09
iteration 1078 res= 6.948041627199521e-09
iteration 1079 res= 6.852581180555624e-09
iteration 1080 res= 6.7584322804740845e-09
iteration 1081 res= 6.665576913766078e-09
iteration 1082 res= 6.573997293731076e-09
iteration 1083 res= 6.483675900724828e-09
iteration 1084 res= 6.394595459241093e-09
iteration 1085 res= 6.3067389091504954e-09
iteration 1086 res= 6.220089440885009e-09
iteration 1087 res= 6.134630462323265e-09
iteration 1088 res= 6.050345607732123e-09
iteration 1089 res= 5.967218775966888e-09
iteration 1090 res= 5.885234043123831e-09
iteration 1091 res= 5.804375697464095e-09
iteration 1092 res= 5.724628290895526e-09
iteration 1093 res= 5.645976545818384e-09
iteration 1094 res= 5.568405424836091e-09
iteration 1095 res= 5.491900037077236e-09
iteration 1096 res= 5.416445795958666e-09
iteration 1097 res= 5.3420282227507415e-09
iteration 1098 res= 5.268633095463936e-09
iteration 1099 res= 5.1962463458313255e-09
iteration 1100 res= 5.124854140373132e-09
iteration 1101 res= 5.054442809432531e-09
iteration 1102 res= 4.984998868844853e-09
iteration 1103 res= 4.916509026727359e-09
iteration 1104 res= 4.848960189067868e-09
iteration 1105 res= 4.782339415582198e-09
iteration 1106 res= 4.7166339448727095e-09
iteration 1107 res= 4.6518312303347455e-09
iteration 1108 res= 4.587918844820352e-09
iteration 1109 res= 4.5248845689998295e-09
iteration 1110 res= 4.462716319985976e-09
iteration 1111 res= 4.401402217647644e-09
iteration 1112 res= 4.340930532910021e-09
iteration 1113 res= 4.281289667448394e-09
iteration 1114 res= 4.222468225080945e-09
iteration 1115 res= 4.164454944361612e-09
iteration 1116 res= 4.1072387109440784e-09
iteration 1117 res= 4.050808588781358e-09
iteration 1118 res= 3.995153767474519e-09
iteration 1119 res= 3.940263595804976e-09
iteration 1120 res= 3.886127569791755e-09
iteration 1121 res= 3.83273533446297e-09
iteration 1122 res= 3.780076662289142e-09
iteration 1123 res= 3.728141472198836e-09
iteration 1124 res= 3.6769198434232496e-09
iteration 1125 res= 3.6264019576717673e-09
iteration 1126 res= 3.5765781335362466e-09
iteration 1127 res= 3.5274388649262574e-09
iteration 1128 res= 3.4789746989912544e-09
iteration 1129 res= 3.431176412435023e-09
iteration 1130 res= 3.3840348380620775e-09
iteration 1131 res= 3.3375409442559155e-09
iteration 1132 res= 3.2916858366707634e-09
iteration 1133 res= 3.2464607544411714e-09
iteration 1134 res= 3.20185701640442e-09
iteration 1135 res= 3.1578660947274213e-09
iteration 1136 res= 3.1144795853898352e-09
iteration 1137 res= 3.071689163842817e-09
iteration 1138 res= 3.0294866473975043e-09
iteration 1139 res= 2.98786396035351e-09
iteration 1140 res= 2.946813128879899e-09
iteration 1141 res= 2.906326312921551e-09
iteration 1142 res= 2.86639575404848e-09
iteration 1143 res= 2.8270138008684686e-09
iteration 1144 res= 2.7881729236898696e-09
iteration 1145 res= 2.749865690221446e-09
iteration 1146 res= 2.712084773076043e-09
iteration 1147 res= 2.67482292575374e-09
iteration 1148 res= 2.638073035428225e-09
iteration 1149 res= 2.601828051333945e-09
iteration 1150 res= 2.56608104233486e-09
iteration 1151 res= 2.5308251803984455e-09
iteration 1152 res= 2.4960536837939773e-09
iteration 1153 res= 2.461759935102699e-09
iteration 1154 res= 2.427937357377234e-09
iteration 1155 res= 2.3945794772264324e-09
iteration 1156 res= 2.3616798896013715e-09
iteration 1157 res= 2.3292323296073995e-09
iteration 1158 res= 2.297230564528598e-09
iteration 1159 res= 2.265668479439641e-09
iteration 1160 res= 2.2345400347809227e-09
iteration 1161 res= 2.2038392742993523e-09
iteration 1162 res= 2.173560312218078e-09
iteration 1163 res= 2.1436973564022294e-09
iteration 1164 res= 2.1142446998583604e-09
iteration 1165 res= 2.0851966894625983e-09
iteration 1166 res= 2.0565477676177174e-09
iteration 1167 res= 2.0282924756612993e-09
iteration 1168 res= 2.0004253862507363e-09
iteration 1169 res= 1.9729411628519188e-09
iteration 1170 res= 1.9458345541265103e-09
iteration 1171 res= 1.9191003622777862e-09
iteration 1172 res= 1.8927334941616805e-09
iteration 1173 res= 1.8667288714541835e-09
iteration 1174 res= 1.8410815328296521e-09
iteration 1175 res= 1.8157865664294941e-09
iteration 1176 res= 1.7908391227508154e-09
iteration 1177 res= 1.766234453974245e-09
iteration 1178 res= 1.7419678304298498e-09
iteration 1179 res= 1.7180346107522614e-09
iteration 1180 res= 1.6944302008399361e-09
iteration 1181 res= 1.6711501048505505e-09
iteration 1182 res= 1.6481898622687437e-09
iteration 1183 res= 1.6255450647095954e-09
iteration 1184 res= 1.6032113977710588e-09
iteration 1185 res= 1.5811845708510086e-09
iteration 1186 res= 1.5594603828450653e-09
iteration 1187 res= 1.5380346646190164e-09
iteration 1188 res= 1.5169033203791969e-09
iteration 1189 res= 1.496062301292538e-09
iteration 1190 res= 1.4755076200566074e-09
iteration 1191 res= 1.4552353471039174e-09
iteration 1192 res= 1.4352415865436047e-09
iteration 1193 res= 1.4155225382861335e-09
iteration 1194 res= 1.3960743990071075e-09
iteration 1195 res= 1.376893472830978e-09
iteration 1196 res= 1.3579760806659418e-09
iteration 1197 res= 1.3393185901943043e-09
iteration 1198 res= 1.3209174368972213e-09
iteration 1199 res= 1.3027690999003073e-09
iteration 1200 res= 1.2848701103604469e-09
iteration 1201 res= 1.2672170441103305e-09
iteration 1202 res= 1.2498065056018573e-09
iteration 1203 res= 1.2326351878065917e-09
iteration 1204 res= 1.2156997683938283e-09
iteration 1205 res= 1.1989970409922486e-09
iteration 1206 res= 1.1825238009470132e-09
iteration 1207 res= 1.1662768813921747e-09
iteration 1208 res= 1.1502531949919336e-09
iteration 1209 res= 1.1344496302303633e-09
iteration 1210 res= 1.1188632171403412e-09
iteration 1211 res= 1.1034909470615006e-09
iteration 1212 res= 1.088329890520765e-09
iteration 1213 res= 1.0733771059172907e-09
iteration 1214 res= 1.058629781795617e-09
iteration 1215 res= 1.0440850635700838e-09
iteration 1216 res= 1.0297401890608049e-09
iteration 1217 res= 1.0155923933842377e-09
iteration 1218 res= 1.0016389793743943e-09
iteration 1219 res= 9.878772652942522e-10
iteration 1220 res= 9.743046389129484e-10
iteration 1221 res= 9.609184832867373e-10
iteration 1222 res= 9.477162405364844e-10
iteration 1223 res= 9.346953929262571e-10
iteration 1224 res= 9.218534373172311e-10
iteration 1225 res= 9.091879177514704e-10
iteration 1226 res= 8.966964255127543e-10
iteration 1227 res= 8.843765347749792e-10
iteration 1228 res= 8.72225926431386e-10
iteration 1229 res= 8.602422442088333e-10
iteration 1230 res= 8.484232104216341e-10
iteration 1231 res= 8.367665665217973e-10
iteration 1232 res= 8.252700643269565e-10
iteration 1233 res= 8.139315271444288e-10
iteration 1234 res= 8.027487700817419e-10
iteration 1235 res= 7.917196533515586e-10
iteration 1236 res= 7.808420681895741e-10
iteration 1237 res= 7.70113937456317e-10
iteration 1238 res= 7.595331929789697e-10
iteration 1239 res= 7.490978217279541e-10
iteration 1240 res= 7.38805825978633e-10
iteration 1241 res= 7.286552374709478e-10
iteration 1242 res= 7.186441139990981e-10
iteration 1243 res= 7.087705232362404e-10
iteration 1244 res= 6.990325906208014e-10
iteration 1245 res= 6.894284530766281e-10
iteration 1246 res= 6.799562528394244e-10
iteration 1247 res= 6.706142233350342e-10
iteration 1248 res= 6.614005175441214e-10
iteration 1249 res= 6.523134156230471e-10
iteration 1250 res= 6.433511536023269e-10
iteration 1251 res= 6.345120350599629e-10
iteration 1252 res= 6.257943509407669e-10
iteration 1253 res= 6.171964483263876e-10
iteration 1254 res= 6.087166664294984e-10
iteration 1255 res= 6.003533916534866e-10
iteration 1256 res= 5.921050242517416e-10
iteration 1257 res= 5.839699790942513e-10
iteration 1258 res= 5.759467113806551e-10
iteration 1259 res= 5.68033669500627e-10
iteration 1260 res= 5.60229352735577e-10
iteration 1261 res= 5.525322494411694e-10
iteration 1262 res= 5.449409064134838e-10
iteration 1263 res= 5.374538642017021e-10
iteration 1264 res= 5.300696790397088e-10
iteration 1265 res= 5.227869591181543e-10
iteration 1266 res= 5.156042934268715e-10
iteration 1267 res= 5.085203085594984e-10
iteration 1268 res= 5.015336450193677e-10
iteration 1269 res= 4.946429851535188e-10
iteration 1270 res= 4.878469863474089e-10
iteration 1271 res= 4.811443703268355e-10
iteration 1272 res= 4.745338379740247e-10
iteration 1273 res= 4.680141277151451e-10
iteration 1274 res= 4.6158399286683607e-10
iteration 1275 res= 4.5524220444695906e-10
iteration 1276 res= 4.489875390949823e-10
iteration 1277 res= 4.428188197729902e-10
iteration 1278 res= 4.3673484810309763e-10
iteration 1279 res= 4.307344765907323e-10
iteration 1280 res= 4.2481652589569217e-10
iteration 1281 res= 4.1897989532745137e-10
iteration 1282 res= 4.132234434912973e-10
iteration 1283 res= 4.0754609239472857e-10
iteration 1284 res= 4.0194674123506714e-10
iteration 1285 res= 3.9642431866822456e-10
iteration 1286 res= 3.909777725564041e-10
iteration 1287 res= 3.856060475024522e-10
iteration 1288 res= 3.803081364117639e-10
iteration 1289 res= 3.7508301157973897e-10
iteration 1290 res= 3.699296772001884e-10
iteration 1291 res= 3.648471378408556e-10
iteration 1292 res= 3.598344404734277e-10
iteration 1293 res= 3.548906053040536e-10
iteration 1294 res= 3.500146983254948e-10
iteration 1295 res= 3.452057792644223e-10
iteration 1296 res= 3.404629236349358e-10
iteration 1297 res= 3.3578525479156935e-10
iteration 1298 res= 3.3117181936101093e-10
iteration 1299 res= 3.2662179809977506e-10
iteration 1300 res= 3.221342747583671e-10
iteration 1301 res= 3.177084140486483e-10
iteration 1302 res= 3.133433727673969e-10
iteration 1303 res= 3.090382846710801e-10
iteration 1304 res= 3.0479234984947036e-10
iteration 1305 res= 3.006047521099574e-10
iteration 1306 res= 2.9647467894946307e-10
needed 1306 iterations
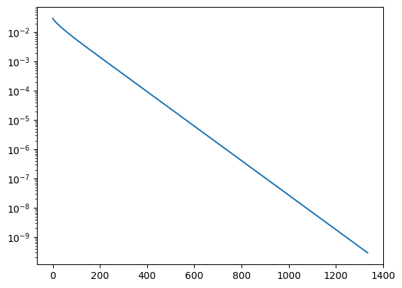
import matplotlib.pyplot as plt
plt.yscale('log')
plt.plot (errhist);

Experimenting with the mesh-size \(h\), we observe experimentally that the number of iterations and thus the condition number grow proportional to \(h^{-2}\). This can be easily calculated for a finite difference discretization on a uniform mesh. We will prove it for finite elements later.
from ngsolve.webgui import Draw
Draw (gfu);
Excercise:
experiment with the relaxation parameter \(\alpha\), how do the iteration numbers change ?
halve the mesh-size, how do the iteration number change ?
modify the parameter in front of the
u*v
term of the bilinear form. How does the iteration number change ?